본문 바로가기
0. 실전 주식투자 이것부터 시작하세요

순이익성장률(=EPS성장률)은 주가 상승에 매우 중요한 요소입니다.

by LTRT 2025. 4. 18.
반응형

 

안녕하세요.

 

오늘은 저번 시간에 언급한대로 왜 순이익성장률이 기업 주가 상승에 중요한 영향을 미치는지 알아보겠습니다.

 

제가 지난 글에서 강조해드렸던 대로, 꾸준히 성장하고 있는 기업이라는 가정하에 다음 3가지 투자 지표를 굉장히 중요하게 생각한다고 말씀드린 적 있습니다.

 

1. EPS Growth(주당순이익 증가율)

2. ROE or ROIC(자기자본이익률 또는 투하자본이익률)

3. PER(주가수익비율)

 

그리고 EPSPER을 곱하면 주가가 되고, 이를 바탕으로 어떤 식으로 애널리스트 레포트에서 정보를 얻어내야 할 지에 대해서는 지난 포스팅에서 간단하게 알아보았는데요.

 

혹시나 안보신 분들께서는 아래 내용을 꼭 읽어보시고 이번 글을 읽어보셨으면 좋겠습니다.

 

 

 

미용기기 대장주 클래시스, 얼마나 더 올라갈 수 있을까?

안녕하세요. 오늘은 저번 시간에 말씀드린대로 순이익 관점에 EPS Growth, ROE, 그리고 PER 3가지를 바탕으로 해서 2025년 04월 14일 기준 미용기기(EBD) 대장주 클래시스의 주가의 향방을 판단하는데 아

ltrt.co.kr

 

제가 작성했던 2번째 포스팅에서, 찰리 티안이 쓴 '투자들의 구루법'이라는 도서에도 언급되었듯이, EPS 성장률은 주가 상승에 많은 영향을 끼치게 되는데요.

 

투자들의 구루법은 여러분들께서 직접 읽어보시길 권해드리며, 충분히 근거가 있는 방향으로 설명을 드리고자 저는 굉~장히 재미없겠지만 이론적으로 풀어서 설명을 드려볼건데요.

적정주가에 대해서 투자공부 초반 당시 저 또한 McKinsey에서 발간한 기업가치 평가 포함 수많은 책들을 많이 찾아봤었지만, PEREPS에 대해 자세히 다루고 실전투자에 접목을 시킬 수 있는 내용은 CFO 강의노트 라는 책에 나와있어 이 책을 바탕으로 설명드리겠습니다.

 

SECTION 76에 '주가의 볼록성과 시장기대치 관리'에 대한 내용이며, 좀 더 깊게 공부하고 싶으신 분들은 사서 읽어보시기를 권해드리..지는 않지만 한 번 읽어볼하니 관심있는 부분들만 골라서 읽어보시는건 추천드립니다.

 

대전제는 주가가 기업의 본질가치를 잘 반영한다고 가정하였을 때이며, 대다수 책에 있는 내용 그대로 인용하였음을 미리 밝힙니다.

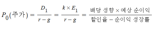
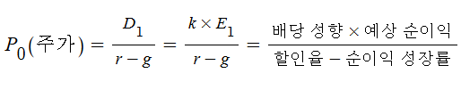
위 식은 고든의 배당성장모형에 기반한 주식가치평가모형인데요.

D1 = 다음 연도의 예상 배당 금액

r = 주주의 요구수익률(또는 할인율)

g = 배당성장률을 나타냅니다.

(가치평가의 기본이 되는 배당성장모형에 대해서는 각종 SNS에 자세한 설명이 많으니 여러분들께서 직접 찾아보시는 걸로 바톤을 넘기겠습니다.)

 

여기서 배당금액(D1)이 다음 년도 벌어들일 예상순이익(E1)의 일정비율(k : 배당성향)로 유지된다고 가정해보면 다음과 같은 식을 만들어 낼 수 있습니다.

그리고 여기서, 배당성향이 일정하다고 가정하는 경우, 배당성장률(g)와 순이익성장률은 동일하다는 것을 기억해주시면 되겠습니다. 그리고 이 식을 변환하면 우리가 알고 있는 PER(주가수익비율)로 식을 표현할 수 있습니다.

위 식에서 주주의 요구수익률(r)이 일정하다고 가정하면, 순이익성장률로 간주할 수 있는 g가 높아질수록 PER은 급격하게 상승하는 모습을 띄게 될 것인데요.

 

책의 예시를 그대로 사용하여 r = 10%, k = 30%, 그리고 순이익성장률 g는 1~9%까지 상승한다고 할 때, 일정 순이익성장률을 지나게 되면 가파르게 상승하는 아래 그래프의 형태를 유추해볼 수 있습니다.

출처 : CFO 강의노트 / 순이익성장률에 따른 주가수익비율 비교 표

순이익성장률(g)가 4%이면 PER은 계산해보면 5배가 될 것이고, g = 5%면 PER은 6베, 그리고 g가 9%까지 올라가게 되면 PER은 30배까지 상승하게 됩니다.

 

이론적으로 접근한 산식이긴 하지만 순이익성장률, 또는 EPS 성장률이 높아지게 되면 PER(=대중심리)도 급격하게 상승하기 때문에 EPS 추정치PER이 같이 상승됨에 따라 주가가 폭발적으로 상승할 수 있다는 것을 설명할 수가 있습니다.

 

그리고 주식시장에 상장되어있는 기업은 계속기업을 가정하고 있으며(going concern), 위 요소들 또한 주가는 이익 성장의 함수라는 전제가 깔려있긴 합니다.

 

하지만 과거부터 사용되어왔던 PER, PBR, 그리고 워런 버핏이 좋아하는 ROE가 2025년 지금도 유용하게 사용되고 있다는 것은 그만큼 지금까지도 유용하게 사용할 수 있는 증명된 지표라는 뜻으로도 해석해볼 수 있습니다.

 

이래저래 수식들이 나와서 피로가 많이 쌓이셨을텐데요.

 

심플하게 2개의 문장으로 정리하면 다음과 같습니다.

 

  1. 대중들은 꾸준히 이익을 잘 내고 있고, 앞으로도 돈을 잘 벌 것으로 보이는 기업에 열광한다. 앞으로 벌어들일 EPS(주당순이익)예상되는 EPS 성장률에 영향을 미치고, 이는 대중의 기대심리, 주가수익비율 PER 급격한 상승에 영향을 주게 되어 이는 'EPS X PER = 주가'의 상승과 이어진다.

 

2. 그래프를 보다시피, 이익이 많이 날 것으로 예상된 기업의 EPS 추정치가 감소하여 EPS 예상 성장률이 떨어지게 되면, PER도 급격하게 떨어져 주가가 급격하게 하락하는 요인이 될 수 있으니 기업의 분기/반기/사업보고서 및 여러가지 자료들을 통해 수출 데이터 or 실적을 꾸준히 찾아봐야 한다.

 

1번 항목의 경우, 지금까지 설명했던 내용이기 때문에 이해가 가실 겁니다.

 

그런데 2번 항목의 경우 그의 반대되는 경우를 조심하라고 말씀드린 것이긴 하나, 우리가 이를 어떻게 찾아보고 대응할지에 대해서는 많은분들께서 모르시리라 생각합니다.

 

그리고 분기/반기/사업보고서를 통해서 애널리스트들이 예측했던 이익들과 실제 기업의 이익이 얼마나 나왔을지 확인할 수가 있는데요.

 

주식을 투자하고자한다면 애널리스트/펀드매니저만큼 디테일하진 않더라도 그들의 자료를 활용해서 보다 더 빠르게 이익을 찾아내는 방법도 알아야한다고 생각합니다.

 

그리고 이 데이터는 주간/월간별 애널리스트들이 작성하는 산업 레포트를 보고 확인할 수가 있습니다.

 

본 포스팅은 리타민 앱을 사용한다는 전제하에 내용을 서술할 것이기에, 다음 포스팅은 산업 레포트를 바탕으로 애널리스트들은 기업의 이익을 예상하고, 우리는 그것들을 활용할 수 있을지에 대해 알아보겠습니다.

 

그리고 1번 항목에서 말씀드렸던 항목인 'EPS 추정치PER이 같이 상승됨에 따라 주가가 폭발적으로 상승할 수 있다'다는 가정이 실제 주식시장에서는 어떻게 작용하고 있는지 예시를 통해 알아보겠습니다.

 

예시로는 가정용 미용기기로 많은 수출을 이끌어내고 있는 에이피알(APR)이라는 기업을 들 것이며, 실적이 발표된 이후에 주가는 어떻게 되었는지 같이 알아보는 시간을 가지겠습니다.

 

현재 미중 관세 갈등으로 시끌벅적한 상황이라 언제든지 주가는 빠질 수 있다는 것을 알아주셨으면 좋겠고, 절대 투자 매수/매도 의견이 아니니 공부용으로 잘 봐주셨으면 좋겠습니다.

 

오늘도 긴 글 읽어주셔서 감사합니다.

 

애드센스 클릭은 주인장에게 큰 힘이 됩니다 :)

Learn

Together

Rich

Together.

 

반응형

댓글